MeteoSchweiz verwendet verschiedene Methoden zur Ozonmessung, mit denen unterschiedliche räumliche und zeitliche Ebenen abgedeckt werden können. Spektrophotometer messen die Durchlässigkeit der Atmosphäre für ultraviolette Sonnenstrahlung (Transmission) in verschiedenen Wellenlängen und berechnen daraus den Gesamtozongehalt in der Luftsäule. Diese Messungen begannen in Arosa und werden seit 2021 vollständig in Davos. Ozonprofile werden mit denselben Instrumenten während des Sonnenauf- und -untergangs bestimmt (Umkehr-Methode). In Payerne wird das Ozonprofil direkt mittels Radiosondierungen erfasst. Ebenfalls in Payerne ist ein Mikrowellen-Radiometer im Einsatz, mit welchem die stratosphärische und mesosphärische Ozonkonzentration zwischen 20 und 70 km kontinuierlich bestimmt wird.
Die Spektrophotometer basieren auf der Messung der Strahlungsabsorption im Bereich des UV-Lichts (300-330 nm) und erlauben es, die totale Ozonmenge zu messen, die in der Atmosphärensäule über der Messstation enthalten ist. Zwei verschiedene Gerätetypen, genannt Dobson und Brewer, sind in Davos zum Einsatz.


Spektrophotometer des Typs Dobson und Messreihe der Gesamtozonsäule, die mit solchen Instrumenten seit 1926 in Arosa/Davos gemessen wird.
Das Dobson-Spektrophotometer misst die differentielle Intensität von Wellenlängenpaaren, wovon während des Durchquerens der Atmosphäre die eine schwach und die andere stark absorbiert wird. Daraus lässt sich die totale Ozonmenge ableiten. Um störende Effekte auszublenden, werden drei verschiedene Wellenlängenpaare gemessen und kombiniert. Die Dobson-Spektrophotometer von MeteoSchweiz sind heute vollständig automatisiert und computergesteuert (siehe Abbildung). Die sehr lange Messreihe von Arosa/Davos, die bereits 1926 begann basiert auf diesem Messgerättyp.


Das Brewer-Spektrophotometer misst die absolute Intensität der Sonneneinstrahlung für vier Wellenlängen im Bereich von 310 bis 320 nm. Aus der gewichteten Summe dieser Messungen lässt sich die Ozonmenge ableiten. Dieses Gerät funktioniert automatisch und sehr zuverlässig; es ist seit über 35 Jahren in Arosa im Einsatz.
Dreimal pro Woche wird von Payerne aus eine ballongetragene Ozonsonde gestartet. Die Messungen werden seit 1966 kontinuierlich durchgeführt. Die ECC-Ozonsonde ist eine elektrochemische Zelle, in der die Ozonkonzentration anhand einer Redoxreaktion gemessen wird, an der Ozon in einer neutralen, gepufferten Kaliumiodid-Sensorlösung beteiligt ist. In Verbindung mit einer Radiosonde während eines Wetterballonflugs liefert die ECC-Ozonsonde vertikale Ozonprofile bis zu einer Höhe von 30–35 km mit einer Auflösung von 150 m und einer Genauigkeit von 3–5 %.


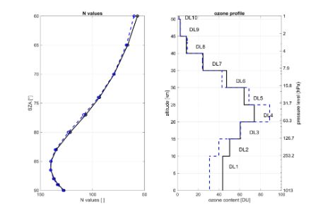
Zusätzlich zur gesamten Ozonsäule messen die Spektralphotometer von Dobson und Brewer täglich zwei Ozonprofile. Bei Sonnenaufgang und Sonnenuntergang verändert sich der Winkel der Sonne zum Horizont allmählich. Das bedeutet, dass der Weg des Lichts durch die Atmosphäre immer länger wird und das Licht zunehmend absorbiert wird. Aus der Messung der Intensität zweier Wellenlängen im UV-Bereich (eine stark vom Ozon absorbierte und eine weniger stark absorbierte) lässt sich bei Veränderung dieses Winkels ein Ozonprofil ableiten. Ozonprofile werden von der Oberfläche bis zu einer Höhe von 50 km mit einer Auflösung von 5 bis 10 km angegeben (Umkehr-Methode). Die Reihe der Ozonprofile aus Arosa/Davos begann 1956 und ist die längste Umkehr-Zeitreihe der Welt.

Das Mikrowellenradiometer SOMORA (Stratospheric Ozone Monitoring Radiometer) misst Ozonprofile mittels Fernerkundung. Damit kann die Ozonkonzentration in der Stratosphäre und der unteren Mesosphäre mit einer vertikalen Auflösung von 8 bis 15 km bei einer zeitlichen Auflösung von 60 Minuten bestimmt werden. Dieses Instrument war ursprünglich vom Institut für Angewandte Physik der Universität Bern entwickelt worden und ist seit Januar 2000 ohne Unterbrechung in Payerne im Einsatz. MeteoSchweiz stellt diese Messdaten auch dem Network for the Detection of Atmospheric Composition Change (NDACC) zur Verfügung, das die atmosphärische Zusammensetzung und deren Veränderungen überwacht.


Die vertikale Ozonverteilung in der Stratosphäre und unteren Mesosphäre wird anhand der Messung der Emissionslinie des Ozonmoleküls bei 142.17 GHz bestimmt. Die Intensität dieser Linie ist proportional zur Ozonkonzentration, die spektrale Breite entsteht durch den Umgebungsdruck am Ort der Emission und gibt damit Auskunft über die Höhe. Die Ozonmenge wird als den Anteil Ozonmoleküle pro Luftvolumen angegeben. Die 24 täglichen Ozonprofile aneinandergehängt ergeben eine lange Zeitreihe, in welcher die jährlichen Schwankungen der Ozonkonzentration auf verschiedenen Höhen gut erkennbar sind.

Stübi, R., Schill, H., Klausen, J., Maillard Barras, E., and Haefele, A.: A fully automated Dobson sun spectrophotometer for total column ozone and Umkehr measurements, Atmos. Meas. Tech., 14, 5757–5769, https://doi.org/10.5194/amt-14-5757-2021, 2021.
Zhao, X., Fioletov, V., Redondas, A., Gröbner, J., Egli, L., Zeilinger, F., López-Solano, J., Arroyo, A. B., Kerr, J., Maillard Barras, E., Smit, H., Brohart, M., Sit, R., Ogyu, A., Abboud, I., and Lee, S. C.: The site-specific primary calibration conditions for the Brewer spectrophotometer, Atmos. Meas. Tech., 16, 2273–2295, https://doi.org/10.5194/amt-16-2273-2023, 2023.
Stauffer, R. M., Thompson, A. M., Kollonige, D. E., Tarasick, D. W., Van Malderen, R., Smit, H. G. J., et al. (2022). An examination of the recent stability of ozonesonde global network data. Earth and Space Science, 9, e2022EA002459, https://doi.org/10.1029/2022EA002459.
Jeannet, P., R. Stu¨bi, G. Levrat, P. Viatte, and J. Staehelin (2007), Ozone balloon soundings at Payerne (Switzerland): Reevaluation of the time series 1967–2002 and trend analysis, J. Geophys. Res., 112, D11302, doi:10.1029/2005JD006862.
Maillard Barras, E., Haefele, A., Stübi, R., Jouberton, A., Schill, H. Petropavlovskikh, I., Miyagawa, K., Stanek, M., Froidevaux, L., Dynamical linear modeling estimates of long-term ozone trends from homogenized Dobson Umkehr profiles at Arosa/Davos, Switzerland, https://doi.org/10.5194/acp-22-14283-2022, 2022.
Maillard Barras, E., Haefele, A., Nguyen, L., Tummon, F., Ball, W. T., Rozanov, E. V., Rüfenacht, R., Hocke, K., Bernet, L., Kämpfer, N., Nedoluha, G., and Boyd, I.: Study of the dependence of stratospheric ozone long-term trends on local solar time, Atmos. Chem. Phys., https://doi.org/10.5194/acp-20-8453-2020, 2020.
Sauvageat, E., Maillard Barras, E., Hocke, K., Haefele, A., and Murk, A.: Harmonized retrieval of middle atmospheric ozone from two microwave radiometers in Switzerland, Atmos. Meas. Tech., 15, 6395–6417, https://doi.org/10.5194/amt-15-6395-2022, 2022.